生物統計学
KEYWORDS
- 臨床研究デザイン
- 統計解析
HEAD

CONTACT
| biostat-sec◎med.nagoya-u.ac.jp(送信の際は◎を@に変更してください) | |
| HP | 生物統計学 独自ホームページ |
OUTLINE
生物統計学(Biostatistics)は、生物・医学領域に特化した統計学の一領域であり、統計学の応用を通して、生物・医学での様々な問題の解決をめざします。大きな不確実性を伴う人での諸現象を対象とする臨床研究はもちろん、基礎研究においても生物統計学は貢献できます。疾患を問わず、様々なタイプの医学研究に横断的に関与でき、その多くで本質的な貢献ができる可能性を秘めていることが生物統計学の大きな魅力です。
本研究室では生物統計学的手法に関する研究を行っていますが、医学研究での共同研究も多く行っています。生物統計学の方法論の研究とその実践は車の両輪のようなものです。生物統計の実践から生物統計の新しい方法論の研究が生まれ、その成果からより高度な生物統計の実践が生まれます。本研究室ではこのサイクルを回していくことをめざしています。
RESEARCH PROJECTS
1. 個別化医療の開発のための統計的方法論の開発とその実践
個別化医療開発のプロセスを、1)治療効果予測マーカーを含めた診断法の開発、2)診断法の評価(分析的・臨床的妥当性の評価)、3)診断法に基づく治療法の有効性・安全性の検証、4)医療現場での臨床有用性の評価と治療の意思決定ツールの開発の4つのフェーズに分け、臨床研究のデザインとデータ解析に関する統計的方法・ツールの開発を進めている。各種がん、関節リウマチ(自己免疫疾患)、糖尿病などの様々な疾患領域における事例研究も重点的に行うことで、個別化医療開発の現場に役立つ方法論の構築とその実践に関する総合的研究を行う。

A) B)
図1.1. 多発性骨髄腫のランダム化臨床試験における予後関連遺伝子と治療効果予測因子の同時検出.治療前の形質細胞の遺伝子発現マイクロアレーデータ(約5万のプローブセット)に対してサリドマイド治療追加群と非追加群での死亡リスク(対数ハザード比)を推定。5万プローブセットでの対数ハザード比のプロット(パネルA)とセミパラメトリック階層混合モデルによりノイズ成分(ノイズ遺伝子、サンプリング誤差)を取り除いた効果サイズ分布(シグナル成分)(パネルB)[1].

A) B)
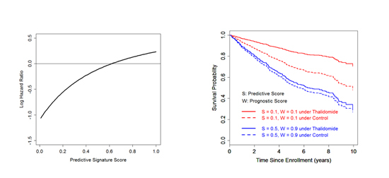
図1.2. 効果予測マーカーとサリドマイドの効果(コントロール群に対する対数ハザード比)の関係(パネルA)。効果予測マーカーと予後マーカーを同時に用いた個体レベルでの生存曲線予測(パネルB)[13]。

図1.3. 骨髄異形成症候群における遺伝子発現量に基づく疾患異質性の検出(混合モデルに基づくネスト型二方向クラスタリング)
2. 空間疫学における統計手法の開発とその実践:
保健医療分野において、疾病発生の空間的な格差・変動を明らかにするためには、それらのリスク要因の空間変動も考慮に入れた分析を行うことが必要である。特に健康リスクの兆候を早期に検出するためのいくつかのモニタリングシステムには、疾病集積性検出の解析が組み込まれている。疾病集積性の検定の代表的な方法としては、空間スキャン統計量に基づく検定法が提案され、時間、空間、時空間データなど様々なデータを対象とした集積性の検出に適用されている。これら疾病の空間情報を解析するための新たな統計的方法の開発とともに、ソフトウェアの開発、ならびに難病をはじめとする実際の疾病の地域特性の調査研究,疾病に関連した遺伝子の検出,脳画像解析,医薬品による副作用自発報告に基づくシグナル検出への適用など,幅広い分野への応用研究も進めている。

図 2.1. 疾病集積性検定のために開発されたソフトウェア, FleXScan

図 2.2. 心肺機能停止傷病者救急搬送件数、2005/1/1~2011/3/10までの日単位,男性・非心原性(黒実線)と期待件数(オレンジ線)、ならびに検出された有意な集積期間。 [6]

図2.3. 精神科病院入院患者の受療移動分析マップ。各二次医療圏内における入院患者の(i) 二次医療圏内居住者割合、(ii)県内居住者割合(それぞれベイズ推定値) [2]
MESSAGE
名大生物統計学に興味のある方は教室HPをご覧ください。
大学院入学を希望される方へ:出身分野は問いませんが、統計学・数学についての一定の知識が前提となります(目安として統計検定二級)。

