Biostatistics
KEYWORDS
- Clinical Study Design
- Statistical Analysis
HEAD

CONTACT
| biostat-sec◎med.nagoya-u.ac.jp (Please send a message after replacing "◎" mark with "@" mark. ) | |
| HP | Private Page |
OUTLINE
Biostatistics aims to contribute to health sciences, through creating and practicing effective statistical methods to solve important statistical problems from a wide spectrum of biomedical researches.
The Department of Biostatistics at the Nagoya University Graduate School of Medicine is carrying out many methodological researches in biostatistics, including design and analysis of clinical trials and observational studies, disease clustering in spatial epidemiology, meta-analysis, analysis of genomic data, and so forth.
The faculty members are also engaged in many medical research projects and continuously bridging biostatistical design and analysis to a wide variety of statistical problems encountered in these projects. This also enables them to provide graduate students with the good practice of biostatistics. Our graduates are expected to have leadership careers as researchers and practitioners in academic biostatistics departments or data centers, government, and industry.
RESEARCH PROJECTS
1. Statistical methodologies and their applications for clinical development of precision medicine:
Recent advances in biotechnology have accelerated the development of personalized or precision medicine, which uses patient-specific molecular characteristics to optimize diagnosis and treatment. To promote precision medicine, we must seek a new paradigm for the clinical development of therapeutics that incorporates diagnostics (e.g., molecular biomarkers) that are capable of identifying patient-specific treatment responses. The development of novel statistical methods for developing and validating diagnostics, testing of efficacy of treatments based on diagnostics, and evaluating clinical utility of treatments and diagnostics will help to achieve the paradigm shift in clinical studies. We expect that the methodologies that we create will significantly increase the likelihood of successfully bringing precision medicine to clinical practice.

A) B)
Fig 1.1. Plots of estimated effects of microarray gene expressions on overall survival (in terms of log-hazard ratio) in thalidomide and control treatment groups for 50,000 or more genes (Panel A) and an estimate of the underlying effect size distribution using a semi-parametric hierarchical mixture model (Panel B) [1].

A) B)
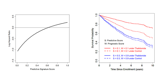
Fig 1.2. Estimated profile of thalidomide’s effect as a function of a developed genomic predictive signature (Panel A) and estimated patient-level survival functions (Panel B) in multiple myeloma [13].

Fig 1.3. Nested two-way clustering (based on finite mixture models) of gene expression data from bone marrow mononuclear cells in myelodysplastic syndromes.
2. Statistical methods and their applications in spatial epidemiology:
With increasing public health concerns about environmental risk, the need for sophisticated methods for analyzing spatial health events is immediate to reveal spatial patterns not previously recognized. In particular, the research area of statistical methods for disease clustering now attracts a wide audience due to the perceived need to implement wide-ranging monitoring systems to detect possible health-related events such as the occurrence of infectious disease. For the cluster detection test, the spatial scan statistic is one of the most powerful approaches as it stands directly on a concrete statistical framework, which is flexible of different data types, such as purely spatial, temporal and spatio-temporal ones. The development of novel statistical methods for assessments of spatial variations of the risk of disease and health outcomes, will give powerful tools for studies in spatial epidemiology. We also develop a software and are exploring application thereof in various fields, such as surveying actual regional characteristics of diseases including intractable diseases, detection of disease related-genes, brain image analysis and signal detection based on spontaneous report of side effects brought on by pharmaceutical products.

Fig 2.1. A software for disease clustering test, FleXScan (developed by Takahashi et al.)

Fig 2.2. The daily out-of-hospital cardiac arrest (OHCA), male non-cardiac cases (MNC), in Japan from 1 January 2005 to 10 March 2011 (black solid line) with the null expected counts (orange line), along with significant temporal clusters detected by the spatial scan statistic (table). [6]

Fig 2.3. Maps of regional behavior of patients with mental disorders in Japan. Bayesian estimates of percentages of inpatients from (i) within the secondary medical area and (ii) within the prefecture. [2]
MESSAGE
Candidates of graduate students in biostatistics should have a basis of mathematical statistics at least in an undergraduate level, as well as being interested in applications of statistical methods in biomedical studies.

